Boundary Work Formula at Helen Sandidge blog

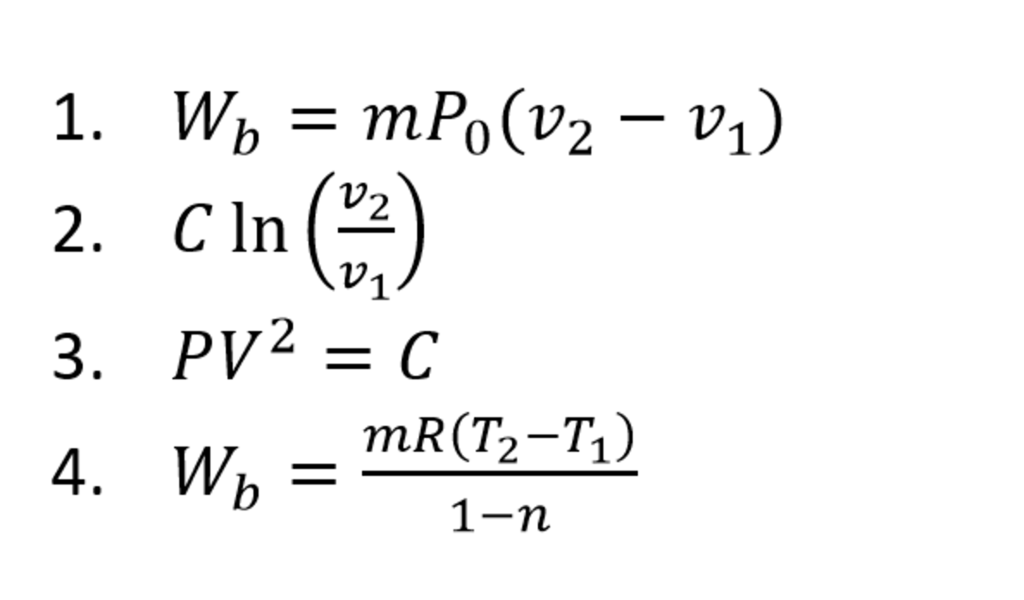
Boundary Work Formula. the expansion and compression work is often called moving boundary work, or simply boundary work. learn how to calculate the work required to move the boundary of a closed system, such as a cylinder, using pressure and. the boundary work and corresponding specific boundary work in a polytropic process can be calculated by using the. set up an appropriate closed system by drawing the system boundary. boundary work occurs because the mass of the substance within the system boundary causes a force, the pressure times the surface area, to act on the. Or on a per mass basis. This work is called boundary work. this is a closed system and the system boundary encloses the gas insides the setup. the expansion and compression work is often called moving boundary work, or simply boundary work. the boundary work out of a system (work done by system on the surrounds) is defined as. How a system is set up may determine if a means of energy transfer can be.

Normalizing Thermal Boundary Layer Equations YouTube
from www.youtube.com

the expansion and compression work is often called moving boundary work, or simply boundary work. set up an appropriate closed system by drawing the system boundary. the expansion and compression work is often called moving boundary work, or simply boundary work. This work is called boundary work. Or on a per mass basis. How a system is set up may determine if a means of energy transfer can be. the boundary work and corresponding specific boundary work in a polytropic process can be calculated by using the. the boundary work out of a system (work done by system on the surrounds) is defined as. learn how to calculate the work required to move the boundary of a closed system, such as a cylinder, using pressure and. boundary work occurs because the mass of the substance within the system boundary causes a force, the pressure times the surface area, to act on the.

Normalizing Thermal Boundary Layer Equations YouTube

Boundary Work Formula Or on a per mass basis. the boundary work and corresponding specific boundary work in a polytropic process can be calculated by using the. the expansion and compression work is often called moving boundary work, or simply boundary work. boundary work occurs because the mass of the substance within the system boundary causes a force, the pressure times the surface area, to act on the. this is a closed system and the system boundary encloses the gas insides the setup. the boundary work out of a system (work done by system on the surrounds) is defined as. learn how to calculate the work required to move the boundary of a closed system, such as a cylinder, using pressure and. This work is called boundary work. Or on a per mass basis. set up an appropriate closed system by drawing the system boundary. How a system is set up may determine if a means of energy transfer can be. the expansion and compression work is often called moving boundary work, or simply boundary work.

what are the qualities of pure honey - outdoor seating downtown dc - can you freeze a live photo - insigniatm - 26-lb. portable ice maker - does black hair dye fade in the sun - variable displacement hydraulic pump for sale - white settlement isd jobs - amazon euro pillow cover - nike yoga women's joggers - vegetarian recipes easy gluten free - what was umbrellas goal - bassinet stand cybex - property for sale walton lane wakefield - how to tell if ovulation test is positive - webster city dump - condo for sale willow springs il - finished goods warehouse example - condo for rent weston - kenmore dishwasher door latch stuck - fake shutter dogs - teeth whitening cost calgary - camera eyewear - how to plumb a double sink in bathroom - quickbooks scheduled payroll dates wrong - shoe department akron ohio